汽车轻量化在线 首页 轻量化概念轻量化百科

汽车轻量化加速、制动和操稳性能的关系

2020-4-23 15:01 4452 0
简介
【汽车轻量化在线】底盘轻量化对整车性能的影响,核心问题是簧下质量问题。簧下质量其实是一个相对簧上质量而言的概念,对于一辆车,我们可以将其分成簧下质量和簧上质量两个部分。(1)簧下质量的定义与模型1)簧下 ...

汽车轻量化在线】底盘轻量化对整车性能的影响,核心问题是簧下质量问题。簧下质量其实是一个相对簧上质量而言的概念,对于一辆车,我们可以将其分成簧下质量和簧上质量两个部分。

(1)簧下质量的定义与模型

1)簧下质量定义及理论基础简介

簧下质量指的是不由悬挂系统中弹性元件所支撑的重量,一般包括车轮、弹簧、减震器以及其他相关部件。簧下质量的界定非常复杂,严格意义上讲,精确计算簧下质量不仅需要考虑悬架形式,还需考虑各悬架零件的质心位置,各摆臂运动的矢量方向等。根据相关资料,图 1为簧下质量零件计算示意图:

图 1 簧下质量零件计算示意图

簧下质量的估算值:

① 轮胎、轮圈、刹车碟等通常可以等效为100%的簧下质量;

② 传动半轴,上下摆臂,则可以粗略等效为50%的簧下质量;

③ 对于机簧一体式避震器而言,阻尼器和弹簧大概能够等效36%的簧下质量。

上述计算方式虽然存在一定误差,但对于量化簧下质量的计算及对整车性能影响的量化提供了依据。

2)汽车运行状态动力学的简化模型

汽车运行时是一个复杂的振动系统,应根据分析的问题进行简化。若把车辆车身质量当做刚体看待,可以得到如图 2的车辆立体简化模型。

图 2 车辆简化立体模型

m1为簧下质量,由车轮、车轴及部分悬架质量等组成;m2为簧上质量,包含车身、车架质量及部分悬架质量等,I y为m2绕y轴的转动惯量;x(I)、y(I)分别为左右车辙不平度函数。此时簧载质量m2有垂直、俯仰、侧倾3个自由度,4个车轮质量有4个垂直自由度,整车共7个自由度。当x(I)=y(I),并忽略轮胎阻尼后,汽车立体模型可简化为平面模型,如图 3。

图 3双轴汽车简化平面模型

由车辆立体简化模型至双轴汽车简化平面模型的转化需要满足以下三个条件:


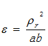
式中:ρy为绕横轴y的回转半径;a、b为车身质量部分的质心至前后轴的距离。由式(1.1)、(1.2)、(1.3)得出三个集中质量分别为:

对于图 1所示的双轴汽车四个自由度的振动模型,当 的数值接近1 时,

前后悬挂的垂直振动几乎是独立的。于是可以简化为图 4中两个自由度的振动系统。

图 4两个自由度的振动系统

图中K为悬挂刚度,C为阻尼器阻力系数,Kt为轮胎刚度;q为输入的路面不平度函数,z1、z2分别为车轮、车身垂直坐标,坐标原点选在各自的平衡位置。

(2)簧下质量对性能的影响

对于一辆车来说,我们在不考虑其悬挂类型的情况下,其对整车性能的影响主要体现在以下方面:

图 5 簧下质量

轮组及悬架摆臂等簧下质量的降低,惯性也就变小,汽车行驶时上下的跳动也会更加活跃,惰性变弱。遇到坑洼不平的路面时悬架反应相应就快了,轮胎能够更加贴伏地面,稳定性及操控性自然就能上升。

当车辆行驶在起伏不平的路面时,较轻的簧下质量让悬架的上下移动速度提升,簧下质量越小、需要改变运动方向的时间就越短(响应速度提升)就会造成对路面起伏的"跟踪"能力提升,悬架也会更主动的将轮胎压向地面,减少轮胎跳动离地的时间,这样的底盘表现出非常受控,贴伏路面的可靠操控感。

总之,单纯的从簧下质量的角度去分析其对车辆动态行驶特性所产生的影响时,会发现减小簧下质量不论对于讲求舒适平稳的豪华轿车,还是对于讲求运动与极限操控的超级跑车而言都具有不可忽视的作用。豪华轿车讲求的是舒适平稳,超级跑车则更加侧重于运动及极限操控,然而无论对于豪华轿车还是超级跑车,簧下质量所占比重的减少,势必会增加其舒适性及操控稳定性。车身轻量化对于现代汽车来说是一个趋势,簧下质量也应该伴随着车身重量的减轻而减小,但是降低簧下质量远没有减小车身重量要轻松。

2)提高车辆加速性

簧下质量中车轮轻量化对加速性能的提升最为显著的。汽车从静止到启动加速过程需要能量,而在单位时间能够提供多大的能量则是由发动机功率决定的。根据理论力学,车轮作为旋转件,其消耗的动能与转动惯量成正比。式(1.3)中给出运动车轮的转动惯量,可见,车轮越轻,其转动惯量越小。因而在发动机功率一定的情况下,克服轮胎转动消耗的能量越少,留给汽车加速的能量就越多。因此,轮组的重量减轻了,加速性能得以提升。

3)制动性能的提升

一辆汽车的制动能力由轮胎的抓地力,制动系统所能提供的最大摩擦力和车辆重心等因素共同决定。车轮从飞速旋转到完全静止,需要通过刹车片和刹车碟的摩擦将机械能转换热能,较轻的车轮在旋转时就像更小的飞轮,所能存储的机械能也相对较少,这样就从一方面减轻了刹车系统的负荷,能将更多的刹车效能留给车身的减速,进而缩短刹车距离。因此,高性能的刹车系统不仅会注重提供更大的刹车性能和热稳定性,同时也会更加注重轻量化。


路过

雷人

握手

鲜花

鸡蛋

相关阅读

此篇文章已有0人参与评论

请发表评论

全部评论

关注汽车轻量化最新动态

官方微信

汽车材料网

全国服务热线:

0551-63857995

地址:安徽省合肥市庐阳区四里河鼎鑫中心

邮编:230001 Email:service@qichecailiao.com

Powered by 汽车轻量化在线  皖ICP备10204426号-2

小黑屋-手机版- 汽车轻量化在线