新材料与工艺手册
导读

[底盘系统轻量化] 电动汽车轻质复合材料电池架设计与研究

0
回复
3800
查看
[复制链接]

微信扫一扫 分享朋友圈

发表于 2020-2-24 15:45:36 | 显示全部楼层 |阅读模式

注册后就可以查看哦!

您需要 登录 才可以下载或查看,没有账号?立即注册

x
电动汽车轻质复合材料电池架设计与研究

郭迎福1,谭华江1,张 勇2,蔡志华1,3
(1.湖南科技大学机电工程学院,湖南湘潭411201;2.长沙众泰汽车工业有限公司,湖南长沙410082;3.湖南大学车身先进设计制造国家重点实验室,湖南长沙410082)
汽车轻量化在线】摘要:建立电动汽车电池架有限元模型,计算电池架在颠簸、紧急制动与转弯等典型工况下应力、变形分布情况,通过约束模态分析得到电池架前6阶固有频率。提出了几种电池架结构设计,采用复合材料对电池架进行轻质化设计。验证结果表明,采用铝合金箱体、低碳钢加强筋结构的轻质电池架减重42.6%,结构架静、动态特性都能满足要求。
关键词:电池架;有限元分析;结构优化;轻质化

[size=1em]电池架作为纯电动汽车动力电池总成的承重与保护装置必须具备良好的综合性能[1]。由于当前普遍较低的动力电池组能量密度,纯电动汽车不得不装配大量的动力电池来满足续航里程的要求,而各大电池厂商大多使用厚重的箱体式电池架来装载动力电池,无形中增加了纯电动汽车的整体质量[2]。因此,在满足电池架动静态性能基本要求的前提下,亟需对纯电动汽车电池架整体结构进行轻量化研究。

[size=1em]本文以某纯电动汽车电池架的质量最轻和成本最低为两个目标函数,电池架各零部件的材料与结构厚度作为设计变量,电池架的各项性能指标为约束条件(各典型工况下的位移变形和1阶约束模态固有频率),基于NSGA-Ⅱ的多目标遗传算法进行多材料结构优化,得到了电池架轻量化设计优化方案最优解集,确定最终的轻量化优化方案,并对轻量化后的电池架进行整体性能验证。

1 电池架有限元模型的建立1.1 几何模型的建立

[size=1em]本文以某纯电动汽车电池架为研究对象,该电池架由上箱体、下箱体、托脚和定位销及加强筋组成,总质量88 kg,在CATIA中建立电池架的三维数模,如图1所示。

1.2 有限元模型的建立

[size=1em]将电池架几何模型导入HyperMesh中进行有限元模型前处理,根据电池架的结构特点,采用壳单元进行网格划分,网格单元尺寸为5 mm。应用RBE2刚性单元来模拟上、下箱体之间的螺栓连接,ACM单元来进行托脚、加强筋与下箱体之间的焊接模拟。上、下箱体采用低碳冲压钢DC01,托脚、加强筋采用普通碳素结构钢Q235,电池架材料特性及厚度如表1所示;电池架有限元模型总共有229 073个节点,228 266个单元,电池架有限元模型如图2所示。

[size=0.8em]图1 电池架总成及各零部件几何模型

[size=0.8em]表1 电池架材料属性及厚度参数

[size=0.8em]图2 电池架有限元模型

1.3 载荷工况的确定

[size=1em]参考主机厂提供的数据并结合相关资料,选取在颠簸路面时的极限垂向颠簸工况、紧急制动工况和左、右转向工况来进行电池架静态特性分析。纯电动汽车车身底盘与电池架之间的稳定连接是通过电池架下箱体中的12个托脚与底盘形成螺栓连接,在有限元模型中对这12个托脚的作用点添加约束,约束其X、Y、Z方向的全部自由度。有限元分析计算中为达到满载情况,需对电池架进行配重处理,通过添加均布质量点使电池架达到420 kg的满载质量。参考车辆坐标系方向的选取后[3],定义电池架受到的典型工况加载与约束如表2所示。

[size=0.8em]表2 各典型工况的加载及约束

2 电池架有限元分析2.1 应力应变分析

[size=1em]运用Optistruct求解器对电池架极限垂向颠簸、前进制动、倒车制动、左转弯和右转弯5个典型工况的电池架进行了应力应变分析。分析计算后在HyperView中查看可得,在垂向颠簸工况下应力与变形最大,本文仅以垂向颠簸工况为例进行应力应变分析。垂向颠簸工况下最大应力为170.2 MPa,位于加强筋与下箱体的连接处,最大变形为6.291 mm,位于下箱体前侧与后侧的中间部分,且电池架的应力、变形分布主要集中于下箱体区域,具体分布情况如图3所示。

[size=0.8em]图3 垂向颠簸工况下应力与变形分布图

[size=1em]本文引用强度安全系数来评估各典型工况下电池架的安全性,各个载荷工况下电池架结构强度安全系数n定义为:


[size=1em]式中:σs为材料的屈服极限;σmax为各个工况下计算出的最大应力值。

[size=1em]当安全系数n≤1时,结构强度不符合要求,结构将会发生破坏;当安全系数n>1时,结构强度符合要求,n值越大结构越安全可靠。本文以某纯电动汽车电池架为分析目标,根据动力电池行业标准,并结合所用车型实际情况,安全系数拟定为2。通过结构强度安全系数公式计算得到电池架在垂向颠簸工况下的结构强度安全系数n=210/170.2=1.23,结构安全系数虽大于1,但未达到本文拟定的结构安全系数指标,电池架在使用过程中存在安全隐患,在后续的轻量化优化过程中,需提高电池架结构强度。

2.2 电池架模态分析

[size=1em]对电池架进行模态分析是为了获得电池架的固有频率和模态振型,避免电池架在实际使用过程中因共振而破坏结构,并为后续的轻量化设计提供参数依据。为了准确全面地分析电池架的动态特性,本文采取了约束模态分析。

[size=1em]在电池架实际工作状态下,电动汽车底盘与电池架下箱体托脚上的螺栓是通过焊接的方式来固定,在对电池架进行约束模态时,将电池架12个托脚位置限制其X、Y、Z三个方向的全部自由度。在建立好的电池架有限元模型基础上,运用软件Optistruct对电池架进行前6阶约束模态分析,分析计算后在HyperView中查看电池架前6阶固有频率与振型描述,如表3所示。

[size=0.8em]表3 电池架前6阶固有频率与振型描述

[size=1em]由表3可得,约束模态分析提取的前6阶模态固有频率在36.89~75.36 Hz,其中1阶固有频率避开了激振频率范围(17~25 Hz),不会与纯电动汽车发生共振。在振型描述上,主要以上、下箱体弯曲振动、上箱体扭转振动及下箱体弯曲和扭转组合振动为主,振动区域主要集中在下箱体及上箱体上、下侧区域,此计算结果使得电池架在普通环境下能够正常使用。但电池架下箱体振动较大,故需在后续的电池架轻量化设计中提高下箱体的动刚度以及尽可能提高电池架1阶固有频率,从而减少电池架疲劳损坏,提高电池架的安全性。

3 电池架多材料结构轻量化优化设计

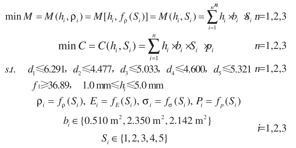
[size=1em]由于托脚和定位销的灵敏度不高,在本文的优化设计中主要以加强筋、上箱体、下箱体为主要零部件进行轻量化研究。由电池架几何模型在软件CATIA中测得加强筋、上箱体、下箱体的表面积分别为0.510、2.350、2.142 m2,原电池架质量为88 kg,而原电池架加强筋、上、下箱体的质量为78.43 kg。在电池架多材料结构优化中,以普通低碳钢、高强度钢、铝合金、镁合金碳纤维5种材料作为电池架各零部件的备选材料,对5种材料进行1~5编号处理后,以电池架质量最低和成本最低为两个优化目标,电池架零件所用材料类型和零件结构厚度作为设计变量,则该模型中6个设计变量为电池架加强筋、上箱体、下箱体的厚度(h1,h2,h3)与加强筋、上箱体、下箱体的材料(S1,S2,S3),电池架的各项性能指标为约束条件(各典型工况下的位移变形和1阶约束模态固有频率),则电池架材料与结构优化设计模型为:


[size=1em]式中:M为电池架的质量;C为电池架的成本;hi为第i个电池架零件的厚度;bi为第i个电池架零件的表面积;Si为选择的零件的材料编号;ρi、Ei、σi、Pi分别为各材料的密度、弹性模量、屈服强度和价格。

[size=1em]运用Matlab软件,建立基于NSGA-Ⅱ遗传算法的复合材料结构优化数学模型后再转变成Matlab语言[4],种群规模为100,进化代数为180,交叉概率为90%,交叉分布指数为15,变异分布指数为75[5],运行程序求解可得可行解以及Pareto优化解,如图4所示。

[size=0.8em]图4 电池架材料与结构组合优化设计结果

[size=1em]从图4中选择Pareto优化解,其代表了电池架成本与质量的综合结果,如表4所示。

[size=0.8em]表4 电池架多材料结构优化最优解

[size=1em]从表4中可得,方案编号由质量最轻从上往下排列,其中方案A全部使用碳纤维材料,使电池架降重71.3%,但同时价格上涨到396.70美元;方案J全部使用普通低碳钢材料,是成本最低的材料组合,也是质量最重的方案,需在其基础上来进行轻量化设计。以经济适用性为前提,综合考虑电池架的成本与质量,本文采用方案H来实现电池架的轻量化设计,该方案为上、下箱体使用铝合金,加强筋使用低碳钢的材料组合,使电池架降重42.6%,达到预期目标,但成本只增加30.9美元,符合经济适用性的要求。

4 轻量化后电池架综合性能验证4.1 轻量化后电池架应力应变分析

[size=1em]根据方案H材料结构组合,修改电池架有限元模型,重新赋予电池架对应的材料、结构属性,约束与载荷均不变,运用软件Optistruct对电池架极限垂向颠簸、前进制动、倒车制动、左转弯和右转弯5个典型工况重新进行应力应变分析。在HyperView中查看可得,轻量化前应力与变形最大的极限垂向颠簸工况应力、应变有了明显改善,最大应力为129.9 MPa,位于加强筋与下箱体的连接处;最大应变4.13 mm,位于下箱体前侧,垂向颠簸工况具体应力、变形分布情况如图5所示。

[size=1em]轻量化后的电池架在5种典型工况下的最大应力、应变结果及安全系数汇总如表5所示。由表5可得,轻量化设计后的电池架在5种典型工况下,最大应力与最大变形值相比轻量化前有了较大程度的减小,从而提高了电池架安全系数,达到本文拟定的结构安全系数指标,满足设计要求。

[size=0.8em]图5 轻量化后电池架垂向颠簸工况下应力与变形分布图

[size=0.8em]表5 轻量化前后电池架各典型工况应力、应变及安全系数对比

4.2 轻量化后电池架模态分析

[size=1em]对轻量化后的电池架有限元模型赋予轻量化前模态分析相同的边界条件,进行前6阶约束模态分析,分析计算后比对轻量化前模态分析数据,对比结果如表6所示。

[size=1em]由表6可得,轻量化后电池架前6阶固有频率都有所提升,其中1阶固有频率为43.69 Hz,相比轻量化前有了较大的提升,而1阶固有频率的提高,有利于电池架更好地避开激励源频率,减小电池架的振动,表明轻量化优化后的电池架动态特性优于轻量化前。

[size=0.8em]表6 轻量化前后电池架模态对比分析

[size=1em]对轻量化后的电池架重新进行有限元分析后,对比原电池架的分析结果后发现,电池架的整体性能没有因为电池架的质量减轻、材料改变和各零部件厚度变化而减弱,反而在变形、应变、动态特性等方面有所改善,整体性能得到了一定的提升。

5 结论

[size=1em](1)建立了某纯电动汽车电池架有限元模型,进行了垂向颠簸、前进制动、倒车制动、左转弯和右转弯5种典型工况的静力学分析,得到电池架在各典型工况下的最大应力与变形,计算了各工况下的结构强度安全系数,结果显示强度安全系数未达到拟定的安全系数标准,需要在后续的轻量化设计中提升电池架的强度,并对电池架进行了前6阶约束模态分析,为后续的轻量化设计提供了数据参考。

[size=1em](2)基于NSGA-Ⅱ多目标遗传算法,采用了多材料结构设计对电池架进行轻量化设计,分析得出10组材料组合方案,综合考虑制造工艺和经济适用性,采用上、下箱体使用铝合金,加强筋使用低碳钢的材料组合,使得电池架减重42.6%。

[size=1em](3)对轻量化后的电池架进行了强度和模态性能验证,验证结果表明轻量化后电池架的整体性能与安全性能够满足实际使用要求。



您需要登录后才可以回帖 登录 | 立即注册

本版积分规则

关注汽车轻量化最新动态

官方微信

汽车材料网

全国服务热线:

0551-63857995

地址:安徽省合肥市庐阳区四里河鼎鑫中心

邮编:230001 Email:service@qichecailiao.com

Powered by 汽车轻量化在线  皖ICP备10204426号-2

小黑屋-手机版- 汽车轻量化在线