新材料与工艺手册
导读

[轻量化轻卡|重卡] 某微型电动商用车车架轻量化优化研究

0
回复
4389
查看
[复制链接]

微信扫一扫 分享朋友圈

发表于 2020-4-8 10:41:24 | 显示全部楼层 |阅读模式

注册后就可以查看哦!

您需要 登录 才可以下载或查看,没有账号?立即注册

x
汽车轻量化在线】某微型电动商用车车架轻量化优化研究[size=0.6em]*
张 健,谢禹琳(攀枝花学院 交通与汽车工程学院,四川 攀枝花 617000)
摘要:针对某微型纯电动商用车自重的问题,对其车架结构尺寸、承载能力进行了研究,提出了一种车架轻量化优化设计思路。以车架横梁质量最小为目标函数,以车架横梁的截面尺寸边界条件、强度、刚度和稳定性为约束,建立了数学模型;通过Matlab中模拟退火智能算法工具箱,实现了对车架横梁截面尺寸的优化,得到了最优的车架横梁截面尺寸;利用CATIA软件建立了车架优化前后的三维模型,导入ANASYS Workbench软件建立了有限元模型,并在此基础上进行了静力学分析(满载弯曲与满载扭转)和模态分析。研究结果表明:车架优化后较优化前减重了13.43%;优化后的车架应力和变形满足材料Q235钢的使用条件;车架优化前后的低阶自由模态频率与路面激励频率重合率仅为4.8%,发生共振的可能性很小;车架轻量化优化设计思路合理。
关键词:电动汽车;轻量化;车架;优化设计;模拟退火算法;有限元分析
0 引 言

[size=1em]据研究,电动汽车质量每减少500 kg,行驶里程可增加0.15%,百公里耗能降低2.75%[1]。对于非承载式车身的车型,车架作为商用车骨架承受和传递整车载荷[2],车架承载着汽车的各个总成、力和力矩,要求其具有足够的刚度、强度和稳定性以保证使用寿命[3]。商用车横梁总质量占整体车架质量52%,因此,电动商用汽车车架横梁优化设计非常重要。

[size=1em]目前,车架设计已从经验设计进入科学设计阶段[4]。车架分析内容往往局限于强度、刚度和模态3个方面,现代优化算法比较缺乏[5]。现代智能优化算法主要有模拟退火算法、神经网络优化算法、遗传算法和蚁群算法等[6],其中,模拟退火算法具有实用范围广、求得全局最优解的可靠性高、算法简单、便于实现等优点[7]。

[size=1em]本文将以某型电动微型非自卸商用车车架为研究对象,根据车架的受力分布和结构尺寸,应用模拟退火算法对车架横梁截面进行尺寸优化,以得到满足刚度和强度的轻量化尺寸。

1 车架匹配参数设计

[size=1em]商用车车架横梁一般有管状横梁、槽型横梁、鸭嘴横梁、方形横梁等多种形式[8]。微型电动商用车车架为方形横梁边梁式车架,该车架总长3 285 mm,总宽为1 260 mm,车架结构为双纵梁和七横梁结构。

[size=1em]横梁所用材料为Q235,其Q235的主要性能参数如表1所示。

[size=0.8em]表1 Q235的主要性能参数

[size=1em]车架载荷如表2所示。

[size=0.8em]表2 车架载荷

[size=0.8em]-Z—垂直向下
2 车架横梁优化2.1 数学模型

[size=1em]2.1.1 设计变量

[size=1em]车架的优化设计主要从结构尺寸参数方面进行优化,为了得到更加轻量化和结构更加安全可靠的车架,笔者将横梁截面尺寸作为设计变量,横梁截面如图1所示。

[size=0.8em]图1 横梁截面

[size=1em]设计变量如表3所示。

[size=0.8em]表3 设计变量

[size=1em]2.1.2 设计变量的约束条件

[size=1em]对于所研究的微型电动商用车的车架,车架的强度、刚度和稳定性在日常使用中尤为重要。

[size=1em]其设计变量x1,x2的约束条件如下:

[size=1em](1)x1、x2的边界条件如下:

[size=1em]i1(x)=55-x1≤0

[size=1em](1)

[size=1em]i2(x)=3-x2≤0

[size=1em](2)

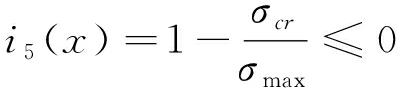
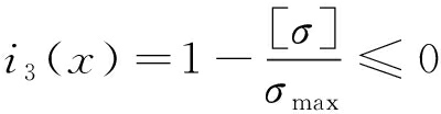
[size=1em](2)车架的最大弯曲应力应小于许用应力的极限值[9],横梁的弯曲应力条件如下:

[size=1em]σmax≤[σ]

[size=1em](3)


[size=1em](4)


[size=1em](5)

[size=1em]式中:安全系数。

[size=1em]则:


[size=1em](6)

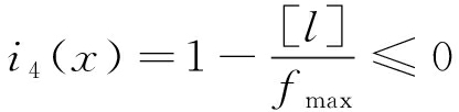
[size=1em](3)横梁的最大挠度条件如下[10]:

[size=1em]lmax≤[l]

[size=1em](7)


[size=1em](8)

[size=1em]式中:轴距,a=1 260 mm;F—车架单根横梁所受载荷,F=2 700 N。

[size=1em]即:


[size=1em](9)

[size=1em](4)横梁的屈服临界稳点应力条件如下:


[size=1em](10)


[size=1em](11)

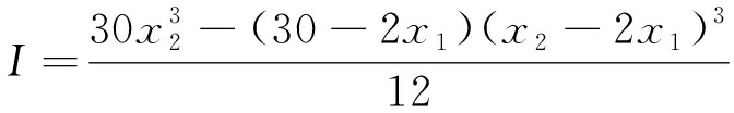
[size=1em]2.1.3 车架横梁的目标函数

[size=1em]改变横梁的结构尺寸参数,寻找最优的横梁截面面积,以降低车架总质量。

[size=1em]车架横梁目标函数为:

[size=1em]f(x)=ρAL

[size=1em](12)

[size=1em]式中:f(x)—单根横梁质量;ρ—横梁密度;A—单根横梁面积;L—横梁长度。

2.2 基于Matlab的模拟退火算法实现

[size=1em]Matlab软件提供模拟退火算法工具箱,通过模拟退火算法工具箱可以快速解决无约束或边界约束最优化问题。针对车架横梁优化问题,可通过以下步骤实现:

[size=1em](1)定义描述目标函数的M-函数文件ObjectFunction.m;

[size=1em](2)点击命令行操作(APP)打开Matlab的Optimization Tool;

[size=1em](3)在Optimization Tool选择simulannealbnd-Simulated annealing algirithm;

[size=1em](4)在Objective function行输入“@ObjectFunction”;输入优化变量上、下限;其余参数为默认设置;

[size=1em](5)在Plot interval中选择Best function value、Temperatur plot和Current function value。

2.3 模拟退火算法优化结果

[size=1em]经过1 133次迭代,通过模拟退火算法,横梁优化结果如图2所示。

[size=0.8em]图2 横梁优化结果

[size=1em]为方便计算,将优化后尺寸x1=60.03 mm圆整为60 mm, 将优化后尺寸x2=3.51 mm圆整为3.5 mm。

[size=1em]横梁优化前后参数对比如表4所示。

[size=1em]由表4可以看出:优化后的横梁截面面积较优化前减少了13.43%,则优化后车架重量较优化前改善了13.43%;横梁优化结果可满足约束条件。

[size=0.8em]表4 横梁优化前后参数对比

3 车架横梁静动态特性分析3.1 有限元模型与仿真条件

[size=1em]笔者将CATIA建好的车架模型另存为igs格式导入到ANASYS Workbench有限元分析软件中。鉴于车架几何模型为简化模型,无复杂零部件,对纵、横梁采用自动划分网格法。

[size=1em]为了保证划分车架网格的质量,笔者对车架模型提取中面,选择面单元进行网格分。优化前、后的车架模型网格基本尺寸为3 mm,优化前模型共划分 1 508 169个节点,822 111个单元;优化后模型共划分58 870个节点,29 968个单元。

[size=1em]商用车车架有限元模型如图3所示。

[size=0.8em]图3 商用车车架有限元模型

[size=1em]汽车在运行时,由于制动、转弯和路面等情况,会对车架产生扭矩和附加载荷。在不同的工况下,车架的受力情况也不同,其中弯曲工况和弯扭工况对车架结构的影响较大[11]。笔者对弯曲工况和扭转工况两种工况进行分析,选取弯曲工况和扭转工况动载荷系数分别为1.5和1.1。

[size=1em]车架边界条件如表5所示。

[size=0.8em]表5 车架边界条件

[size=0.8em]注:释放4个位置的全部转动自由度
3.2 仿真结果与分析

[size=1em]3.2.1 弯曲工况

[size=1em]满载弯曲工况是商用车最经常使用的基本工况,即在满载状态下并且车轮着地时,汽车匀速直线行驶在良好路面上,车架所承受的变形和应力分布情况[12]。施加在车架相应位置的载荷需要乘以动载系数。

[size=1em]加载对应载荷和约束条件后,商用车优化前后的满载弯曲工况下车架总应力图和总位移图,即商用车优化前后车架弯曲工况对比如图4所示。

[size=0.8em]图4 商用车优化前后车架弯曲工况对比

[size=1em]结果分析:

[size=1em](1)有限元分析的可靠性评价。车架在弯曲工况下的最大位移发生在车架中后端,最大应力出现在横梁与纵梁相连接处,符合车架弯曲工况也符合实际情况,因此有限元分析结果较可靠;

[size=1em](2)强度校核。优化前后车架所受最大Von-Mises应力分别为32.248 MPa和33.038 MPa,远小于Q235钢的许用应力,变形在其弹性变形范围内,因此,优化后车架满足强度要求;

[size=1em](3)刚度校核。在满载状态下,汽车四轮着地时,车架优化前后的弯曲工况位移最大分别为0.13 mm和0.15 mm,远小于车架横梁的许用挠度3.15 mm,因此,优化后车架满足刚度要求。

[size=1em]3.2.2 扭转工况

[size=1em]扭转工况是模拟在满载状态下,一轮悬空时车架的扭转变形与应力[13]。

[size=1em]施加相应载荷和约束后,商用车优化前后的满载弯曲工况下,车架总应力图和总位移图,即商用车优化前后车架扭转工况对比如图5所示。

[size=0.8em]图5 商用车优化前后车架扭转工况对比

[size=1em]结果分析:

[size=1em](1)有限元可靠性分析。车架最大位移出现在车架左边纵梁前方,最大应力发生在车架前方第2横梁与左边纵梁连接处,符合车架的扭转工况,也与实际情况符合,因此有限元分析的结果可靠;

[size=1em](2)强度校核。左前轮悬空的极限工况下优化前后车架所受的最大Von-Mises应力分别为166.93 MPa和223.61 MPa,小于Q235钢材料的许用应力235 MPa,因此优化后车架满足强度要求;

[size=1em](3)刚度校核。满载状态下,左前轮悬空时,车架优化前后的弯曲工况位移最大分别为1.29 mm和1.31 mm,远小于车架横梁的许用挠度3.15 mm,因此优化后车架满足刚度要求。

[size=1em]3.2.3 振动模态

[size=1em]通过模态分析可了解车架的振动特性,为以后车架设计及配重分布避开相应共振区提供指导[14]。本文通过ANASYS Workbench软件,计算得到了优化前和优化后车架的固有频率和固有振型。

[size=1em]商用车车架优化后的4种典型的振型图如图6所示。

[size=0.8em]图6 商用车优化后车架振型图

[size=1em]车架优化前后前12阶固有频率如表6所示。

[size=0.8em]表6 商用车优化前后车架前12阶固有频率

[size=1em]表6显示:优化前与优化后固有频率和振型具有一致性,表明车架优化合理。由于车轮不平衡引起的激励频率一般低于11 Hz[15-16],电机的激振频率在20 Hz~2 000 Hz[17]。

[size=1em]由表6还可知:优化前后车架固有频率与电机的激振频率只有一小部分重合,重合率不到5%,汽车行驶过程中会发生共振几率较小。

4 结束语

[size=1em]本文以某型车架为研究对象,根据车架的受力分布和结构尺寸,应用模拟退火算法对车架横梁截面进行了尺寸优化,以得到满足刚度和强度的轻量化尺寸。研究结论如下:

[size=1em](1)模拟退火算法通过1 133次迭代即得到车架横梁最优结构尺寸,经过优化,横梁截面面积从752 mm2减到651 mm2,减重比例达13.43%,实现了车架轻量化目的;

[size=1em](2)由车架横梁静动态特性分析可知:车架优化前最大变形为1.29 mm,优化后为1.31 mm;车架优化前最大应力为166.93 MPa,优化后为223.61 MPa;车架优化前后的低阶自由模态频率与电机激励频率仅有4.3%重合率,发生共振的可能性很小;

[size=1em](3)由(2)中应力和变形对比可知:车架优化后比优化前变形和应力更接近极限变形和应力,体现了该优化设计寻优的特点。



您需要登录后才可以回帖 登录 | 立即注册

本版积分规则

关注汽车轻量化最新动态

官方微信

汽车材料网

全国服务热线:

0551-63857995

地址:安徽省合肥市庐阳区四里河鼎鑫中心

邮编:230001 Email:service@qichecailiao.com

Powered by 汽车轻量化在线  皖ICP备10204426号-2

小黑屋-手机版- 汽车轻量化在线