前言轻量化是降低汽车能耗、减少排放的最有效措施之一。近年来世界各大汽车生产厂家、钢铁协会、铝业协会等组织先后开展了多项汽车轻量化项目的研究。尽管其实现轻量化的技术路线不同,但其轻量化目标相同,主要通过材料、设计和工艺3个方面的工作来实现。国际钢铁协会下属“世界汽车用钢联盟”已展开“未来钢质汽车(FSV)”项目,FSV项目的设计开发将生命周期评价(LCA)作为设计过程中一个不可分割的部分,以钢质车身结构设计为重点,将白车身的质量减至188 kg,整个生命周期期间的温室气体排放量减少近70%,但未进行轻量化全生命周期多目标优化研究。国内外学者也相继开展了汽车材料轻量化及应用在汽车上的生命周期评价研究,评价主要集中在采用
高强度钢、
铝合金、
镁合金、先进
复合材料等替代传统钢进行轻量化所造成的能耗及环境影响,除了应用在整车[1-2]、白车身[3-6],还大量应用在汽车零部件上,如发动机罩[7-9]、座椅[10]、翼子板[11]、车身底板[12]、轮毂[13]和轮辋[14]等。在制造工艺方面,Raugei等评估了汽车先进制造中新型热成型工艺的潜在环境效益[15],李育锋等提出一种考虑产品制造过程环境影响的轻量化设计方法[16]。一些学者也同时做了轻量化生命周期成本(LCC)的研究,Witik等比较了钢、镁、
碳纤维、玻璃纤维等材料应用在行李箱隔板的生命周期成本[17],Akhshik等比较了发动机罩分别采用玻璃纤维增强材料和混合纤维增强材料的生命周期成本差异[8]。
传统的生命周期评价仅是得出清单分析和影响评价的结果,没有基于评价结果来进一步寻找各影响因素的最优解,达不到全局优化的目的。全生命周期多目标优化是把生命周期评价与多目标优化相结合的一种方法,它从产品全生命周期角度出发,对产品进行多方案过程优选,找到优化后的可能最佳方案,从而使全生命周期评价所提供的决策依据更加完善。国内外学者对生命周期优化分析做了一定研究。You等将多目标优化与生命周期评价和输入输出分析结合起来,通过建立一个多目标混合整数线性规划(mo-MILP)模型,对可持续纤维素生物燃料的供应链进行了优化设计[18]。在对替代燃料的生命周期多目标优化方面,胡志远等分别建立了木薯乙醇-汽油混合燃料能源消耗、排放的单目标和多目标优化模型,选择最短距离理想点法将多目标优化问题转化为单目标优化问题[19-21]。邵新宇等将LCA与LCC集成进行评价,并考虑时间因素,提出基于矩阵的集成评价算法,建立经济属性与环境属性之间的联系。基于集成评价结果,建立环境与成本优化模型,并基于并行子空间优化算法(CSSO)进行优化,使综合效益最大,实现经济性与环保性的“双赢”,为改善产品设计提供量化依据[22]。邓超等研究了产品生命周期的制造阶段中生命周期评价与生命周期成本的整合与优化问题,提出了基于工艺约束的工艺方案优化模型,在获得最优工艺方案的同时,也获得了环境属性、经济属性和技术属性的综合效益优化[23]。
综上所述,轻量化虽然减少了使用阶段能耗排放,但在材料获取阶段、加工制造阶段、回收利用阶段乃至全生命周期的能耗及排放能否降低,生产成本是否增加尚未得出准确结论。尽管国内外学者在汽车轻量化生命周期评价方面开展了能耗、排放和成本评估等相关研究,但针对汽车轻量化全生命周期多目标优化研究目前还未有涉及。本文中采用将生命周期评价与多目标优化相结合的方法对汽车材料轻量化全生命周期过程中的材料消耗、能源消耗、环境排放和成本进行多目标优化,并以某公司生产的纯电动汽车和传统汽车作为实例研究,以期在早期设计阶段寻找汽车轻量化的最佳绿色解决方案,为企业开展汽车轻量化评价和指导绿色设计提供理论依据。
1 轻量化生命周期评价模型本文中的研究目的是使用多少质量的铝、镁替代钢在轻量的同时满足全生命周期能耗、环境排放和成本的目标。在此之前,需系统对汽车轻量化前后进行全生命周期的材料(M)、能耗(E)、环境排放(P)和成本(C)评价(简称:MEPC)。生命周期行驶里程设定为30万km。相对于传统的LCA,本文中拓宽了系统边界,如图1所示,汽车生命周期的各个阶段本文中定义为:材料获取、材料加工、零部件加工制造、整车装配、使用直至回收利用。在材料获取阶段,包括两类材料,分别为原生材料和再生材料。对于汽车回收利用阶段,暂考虑金属的回收再利用,而对于汽车报废后零部件再使用、再制造和能量回收、填埋处理、逆向物流等暂不考虑。废料除了来自汽车报废回收的金属材料,还包括其它两种来源:材料加工阶段的废料和零部件加工制造阶段的废料。车辆报废后还需经过预处理、拆解、金属分离阶段才能提取金属废料。

图1 系统边界
系统边界定义好后,通过分析各个阶段输入的材料和能源及输出的排放,即可计算全生命周期的材料、能耗和排放。计算能耗强度时最终都转换成一次能源,即原煤、原油和天然气。在环境排放方面,本文中主要关注气体排放物的情况。需要指出的是,在进行多目标优化时,把所有的环境影响指标都列为目标函数是不现实的,因为有可能不会收敛或者造成优化的可信度降低,因此本文中选取国际上主流研究温室效应(GWP)作为环境影响目标函数之一。虽然轻量化带来使用成本的降低,但采用先进材料、先进加工制造工艺等进行轻量化可能会带来制造成本的增加。从企业视角重点考查汽车轻量化后的生产制造成本差异,如材料成本、加工成本和设备成本的差异,这3类成本都是基于零部件的质量、不同材料及其成型工艺,影响因素复杂,这是一个近似的成本仅用于比较的目的[24]。采用MATLAB编程,把清单数据输入模型,可得出汽车包含回收利用阶段的全生命周期MPEC结果。本文中重点探讨通过材料替换的方式进行轻量化,即用铝合金、镁合金替代传统钢进行汽车(包括纯电动汽车)轻量化。在实际工程应用中,材料替换轻量化并非简单的使用一种较轻的材料去替代原先较重的材料,而是可能涉及到结构、加工制造工艺、连接处处理、整体优化等诸多方面,因此整个过程较为复杂。电动车和燃油车动力系统不同,比如,“三电系统”中的动力
电池轻量化是纯电动汽车轻量化的一部分,但其本质是提高动力电池的能量密度。轻量化对两类汽车均可节省动力能源,但对于电动车,在同等电池容量的条件下,轻量化还能减少全生命周期对电池的消耗量即电池更换次数的减少。为了简化计算,本文中选择动力电池以外的部件进行轻量以评价轻量化后MEPC的变化,同时采用的材料轻量化不会引起车辆上其它部件二次质量的变化,且各种性能满足设计要求。
2 研究对象近年来
新能源汽车发展迅速,我国已经连续3年位居全球
新能源汽车产销第一大国。在动力电池成本高、关键技术尚未突破的状况下,纯电动汽车比燃油汽车对轻量化的需求更为迫切[25]。因此本文中选择某汽车公司生产的传统汽油车和在此平台上开发的纯电动汽车作为评价对象。车身外廓尺寸:长×宽×高分别为4 295 mm×1 705 mm×1 555 mm。动力电池包布置在地板下方,动力电池的能量密度为80 W·h/kg,质量为300 kg,电池循环寿命为800次,充电效率为90%,电池放电深度为80%,电池放电平均效率为95%,电机功率密度为2.4 kW/kg,电机及控制器效率为90%。纯电动汽车的百公里耗电为14 kW·h,续航里程为150 km。传统汽油车的发动机排量为1.6 L,百公里油耗为8 L。由于评价对象为传统汽油车和纯电动汽车,为突出两者的区别,把它们的主要差异部件单独列出,汽车各子系统的组成及质量如表1所示。其中,附件主要包括座椅、仪表板、内外装饰件和玻璃、各种电器等,其它主要是指各种流体等。汽车各子系统的材料构成比例如表2~表4所示。根据静态评价模型,可得出两车的全生命周期能耗及环境排放结果,如表5和表6所示。
表1 汽车各子系统的组成及质量 kg

汽车子系统 纯电动汽车 传统汽油车发动机 0 129变速器 20 34动力电池 300 0驱动电机 66 0电机控制器 14 0白车身 390 363附件 300 433
底盘 365 365其它 25 25整备质量 1 480 1 349
表2 纯电动汽车动力电池、驱动电机、电机控制器的材料构成比例 %

材料 传统钢 锻铝 铸铝 铜 LiMn2 O4
塑料 橡胶 其它动力电池 1.40 19.10 0 10.90 33.40 3.20 0 32.00驱动电机 36.10 0 36.10 27.80 0 0 0 0电机控制器 5.00 0 46.90 8.20 0 23.80 3.70 12.40
表3 纯电动汽车变速器、白车身、附件和底盘的材料构成比例 %

材料 传统钢 高强钢 铸铁 锻铝 铸铝 铜 塑料 橡胶 玻璃 其它变速器 60.50 0 0 20.00 0 18.90 0.20 0 0 0.40白车身 13.03 86.97 0 0 0 0 0 0 0 0附件 27.09 0 0 1.61 0 4.37 41.63 1.15 11.00 13.15底盘 84.10 0 6.90 0 1.00 1.20 1.80 4.40 0 0.60
表4 传统汽油车各子系统的材料构成比例 %

材料 传统钢 高强钢 铸铁 锻铝 铸铝 铜 塑料 橡胶 玻璃 其它发动机 39.50 0 28.60 0 17.10 2.90 9.30 2.60 0 0变速器 30.00 0 30.00 30.00 0 0 5.00 5.00 0 0白车身 6.56 93.44 0 0 0 0 0 0 0 0附件 41.72 0 0 1.29 0 3.49 33.27 0.92 7.62 11.69底盘 84.10 0 6.90 0 1.00 1.20 1.80 4.40 0 0.60
表5 纯电动汽车全生命周期评价结果

纯电动汽车 能耗/MJ CO2排放/kg CH4排放/kg N2 O排放/kg材料获取阶段 1.17×105 8.23×103 35.80 1.29×10-1材料加工阶段 1.61×104 1.27×103 2.59 1.37×10-2零部件加工制造阶段 1.22×104 7.95×102 4.69 1.32×10-2整车装配阶段 1.20×104 8.29×102 4.14 1.32×10-2使用阶段 5.21×105 4.20×104 10.90 7.36×10-1回收利用阶段 -4.25×104 -2.32×103 14.10 -1.69×10-2全生命周期 6.36×105 5.08×104 44.00 8.88×10-1
表6 传统汽油车全生命周期评价结果

传统汽油车 能耗/MJ CO2排放/kg CH4排放/kg N2 O排放/kg材料获取阶段 1.00×105 6.38×103 33.40 1.23×10-1材料加工阶段 1.76×104 1.39×103 2.73 1.47×10-2零部件加工制造阶段 1.27×104 8.30×102 4.89 1.38×10-2整车装配阶段 1.20×104 8.29×102 4.14 1.32×10-2使用阶段 1.86×106 6.46×104 19.80 6.38回收利用阶段 -3.22×104 -1.27×103 11.90 -1.10×10-2全生命周期 1.97×106 7.28×104 53.10 6.54
3 轻量化生命周期多目标优化3.1 多目标优化模型汽车轻量化全生命周期评价首先分别研究全生命周期MEPC差异(轻量化后与轻量化前的差值)与钢质量减少、铝质量增加、镁质量增加的关系;钢质量减少比例及铝质量增加比例、镁质量增加比例最高均设置为整备质量的10%。纯电动汽车和传统汽油车全生命周期能耗、GWP、生产成本随钢质量减少的变化情况如图2所示,同理可得出两车生命周期MEPC随铝、镁质量增加的关系图。把各个评价指标与钢质量减少、铝质量增加和镁质量增加的线性拟合方程进行汇总,如表7所示。最后将这3部分进行叠加,即可得到采用铝、镁替代钢进行轻量化的汽车全生命周期MEPC差异方程。
建立了两款汽车采用“铝代钢”、“镁代钢”进行轻量化的全生命周期能耗、排放和成本差异方程,但使用多少质量的铝、镁替代钢在轻量的同时满足全生命周期能耗、排放及成本的目标,这需要通过多目标优化来解决。多目标最优化问题的数学模型为

图2 钢质量变化对生命周期能耗、GWP和生产成本的影响
表7 全生命周期能耗、排放、成本差异与钢、铝、镁质量变化的拟合方程

钢减少 铝增加 镁增加拟合方程纯电动车 传统车 纯电动车 传统车 纯电动车 传统车生命周期能耗差异 y=-0.0071x+3×10-8 y=-0.0066x-5×10-8 y=0.009x+6×10-8 y=0.0071x-7×10-9 y=0.0108x+2×10-8 y=0.0076x+4×10-8 GWP差异 y=-0.0074x+6×10-8 y=-0.0068x+5×10-9 y=0.0093x+3×10-8 y=0.008x y=0.0228x-8×10-8 y=0.0164x+9×10-9生产成本差异 y=-0.0017x-0.0011 y=-0.0054x-0.0038 y=0.0071x+0.0002 y=0.0229x+0.0008 y=0.0104x+0.0002 y=0.0336x+0.0008

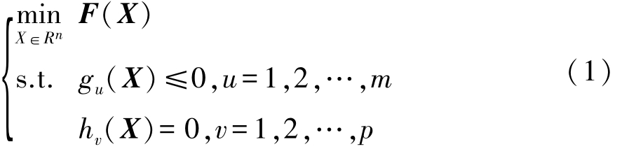
式中:目标函数向量 F(X)=[f1(X),f2(X),…,fq(X)]T,希望 q个指标达到最优值;gu(X)为不等式约束,hv(X)为等式约束。
全生命周期优化目标为最小化其全生命周期能耗、排放各项指标、环境影响评价指标及生命周期成本等。根据企业要求,将多目标优化问题描述如下:对于两款车,期望全生命周期能耗减少目标1,f1(X);全生命周期 GWP减少,目标 2,f2(X);相应的生产成本尽可能不增加,目标3,f3(X)。
影响上述3个目标的参数为钢质量减少比例、铝质量增加比例、镁质量增加比例。所以取设计变量为:X=[x1 x2 x3]T,其中,x1为钢质量减少比例;x2为铝质量增加比例;x3为镁质量增加比例。按照企业要求,钢质量减少比例设定在1%~10%之间,铝质量增加比例在1%~5%之间,镁质量增加比例在0.1%~0.5%之间。因此,x1变化区间取为[1,10],x2变化区间取为[1,5],x3变化区间取为[0.1,0.5]。
最终建立纯电动汽车和传统汽油车的多目标优化数学模型如下。
(1)纯电动汽车的多目标优化数学模型

(2)传统汽油车的多目标优化数学模型


3.2 优化结果多目标优化求解方法很多,最主要的有两类:一类是直接求非劣解然后从非劣解中选出选好解;另一类是将多目标优化问题在求解时作适当的处理。处理的方法又可分为两种:一种是将多目标优化问题重新构造一个函数,即评价函数,将多目标优化问题转变为单目标优化问题;另一种是将多目标优化问题转化为一系列单目标优化问题来求解。
本文中为求得多目标规划问题的非劣解,将多目标规划问题转化为单目标规划问题去处理,选择目标达到法进行多目标优化,由MATLAB程序得到多目标优化结果,如表8所示。可以看出,考虑全生命周期能耗、GWP和生产成本3个目标,两款车经多目标优化后,钢质量减少比例和镁质量增加比例不同,总轻量比例均为5%。纯电动汽车和传统汽油车钢质量减少分别为6.44%和6.41%,铝质量增加均为1%,镁质量增加分别为0.44%和0.41%。纯电动汽车的全生命周期能耗减少3.20%,GWP减少2.84%;传统汽油车全生命周期能耗减少3.21%,GWP减少2.88%;而两款车的生产成本没有变化。
表8 多目标优化结果 %

项目 纯电动汽车 传统汽油车钢质量减少 6.44 6.41铝质量增加 1.00 1.00镁质量增加 0.44 0.41能耗变化 -3.20 -3.21 GWP变化 -2.84 -2.88生产成本变化 0 0
4 结论汽车轻量化虽然在使用阶段节能减排,但如果没有考虑材料获取阶段、加工制造阶段和回收利用阶段的能耗、排放和成本的影响,势必夸大节能减排效果,甚至全生命周期不节能减排。因此,本文中提出在轻量化设计阶段协同考虑轻量化后的全生命周期能耗、环境排放和成本变化,并进行轻量化全生命周期多目标优化研究,达到在保证产品性能的前提下进行轻量化的同时,全生命周期的能耗、环境排放减少和成本不增加的目标。研究方法和结果可以为相关企业开发具有真正节能减排价值的汽车轻量化产品提供量化参考依据。本文中采用材料替换进行轻量化,选择全生命周期能耗、GWP和生产成本3个目标,未来可根据不同企业的实际需求,针对不同的轻量化目标,选择不同的设计变量进行更深入的多目标优化研究。