注册后就可以查看哦!
您需要 登录 才可以下载或查看,没有账号?立即注册
x
【汽车轻量化在线】面向CAFC法规的汽车企业轻量化策略研究*郝 瀚,王司南,李 骁,刘宗巍,赵福全 (1.清华大学,汽车安全与节能国家重点实验室,北京 100084; 2.清华大学汽车产业与技术战略研究院,北京 100084) [摘要] 鉴于我国即将实施乘用车第四阶段油耗法规,本文中对第四阶段油耗法规背景下汽车企业轻量化策略进行了研究。首先,建立了以增量成本最小化为目标,以轻量化技术路线选择为设计变量,以满足2020年CAFC法规与相关标准的安全性、动力性为约束条件的优化模型;然后,基于该模型进行仿真,以分析中国道路交通背景下乘用车轻量化与燃油经济性、安全性、动力性、成本之间的定量关系;最后,以某汽车企业为案例,建立针对该企业的优化模型并求解,得到该企业轻量化技术的最优决策。结果表明,为满足2020年油耗法规目标,在轻量化技术对CAFC贡献率为10%~30%的情况下,乘用车平均整备质量降低2%~6%,平均每辆车增加轻量化成本1 000~3 000元。 关键词:汽车企业;油耗法规;轻量化;技术路线 前言汽车产业在国民经济中占有重要地位,同时对国家能源和环境产生重要影响[1]。针对日益严峻的能源和环保挑战,我国自2005年起实施乘用车企业平均燃料消耗量法规(corporate average fuel consumption,CAFC)。中国CAFC法规共经历了2005-2008年、2009-2012年、2012-2015年、2016-2020年4个阶段。其中第三阶段由GB 19578—2014《乘用车燃料消耗量限值》规定2015年生产的乘用车平均燃料消耗量降至6.9L/(100km)[2]。第四阶段由GB 27999—2014《乘用车燃料消耗量评价方法及指标》规定2020年生产的乘用车平均燃料消耗量降至5.0L/(100km)[3]。如图1所示,根据国家标准,我国第三和第四阶段的燃油消耗量目标值以整车整备质量作为基准参数,规定了对应质量段的乘用车燃料消耗目标值,目标值随着整备质量增加呈现阶梯式的上升形态。  图1 中国第三和第四阶段油耗限值情况
面对中国CAFC法规,节能技术和新能源技术是汽车企业主要的应对策略。节能技术方面,提高传动效率和燃烧效率、降低风阻、轻量化等是各国企业广泛采取的节油手段[4]。其中,轻量化技术主要有3种手段:第一,将钢铁材料替换为镁铝合金、高强度钢、碳纤维等;第二,对汽车进行重新设计或二次轻量化,对汽车结构或零部件进行更合理的设计制造;第三,缩小汽车的尺寸,生产更小更轻的汽车。相关研究表明,3种手段结合最高可使汽车轻量化40%(690kg),降低油耗20%以上[5]。因此,轻量化技术是应对CAFC法规的必要手段。 油耗法规最先诞生于1975年的美国,世界各大汽车企业及部分科研院所开始了对油耗法规的相关研究,尤其是20世纪90年代以来,形成了针对大量汽车的研究成果,主要集中在能源与油耗、排放与环境、轻量化、安全以及动力性能等几个领域。1975-1985年,美国油耗限制从 13.5mpg提高到了27.5mpg[6],短短10年间,燃油经济性翻倍,按照当前汽车工业的研发规律,这也仅仅是两代车型的时间,节油的步伐过大,而技术无法及时跟进,严苛的油耗法规导致汽车过度轻量化,对汽车的安全性、动力性都产生了较大影响,此举在美国产生了很大争议。受此影响,有关轻量化技术对油耗、安全性、动力性影响的研究逐渐受到业界重视,并产生了一些成果。 节油是汽车轻量化的主要目的,不同研究表明,乘用车每轻量化 100kg,降低的油耗在 0.23~0.67L/(100km)。以文献[5]中研究成果为例,轿车每轻量化100kg节油0.4L/(100km),SUV每轻量化100kg节油0.5L/(100km)。受汽车轻量化影响,20世纪70~80年代美国汽车的安全性受到广泛质疑。1989年,文献[7]中首次研究了轻量化对汽车安全性的影响,结果表明,美国第一阶段油耗法规(1978-1985)增加了大约20%的死亡率。1992-2004年,文献[8]~文献[11]中使用数据统计的方法,研究交通事故死亡人数与汽车尺寸、整备质量的关系。结果表明,轻量化对汽车安全性存在一定影响,但增加车型的尺寸可以弥补轻量化对安全性的影响。近年来,受美国颁布《2007年能源独立和安全法案》的影响,CAFE法规的研究再次成为业界话题。2007年,文献[12]中提出了PSFI模型,研究CAFE法规对汽车动力性、油耗和尺寸等方面的影响。2008年,文献[13]中,在PSFI模型的基础上,建立了ERFC模型,分析企业对油耗、动力性和质量等因素之间的取舍权衡。针对新一轮美国油耗法规(2010-2016)的制定与实行,美国官方机构EPA(美国环保总局)与NHTSA(美国高速公路安全管理局)对法规可能导致的轻量化进行了预测,预计为达到2016年美国油耗法规标准,相比2010年,汽车将轻量化5% ~10%。与此类似,文献[5]中的研究也表明,中短期内汽车将轻量化5%~8%。 与国外研究相比,国内学者更加重视对汽车轻量化技术层面的研究,针对轻量化产生的对油耗、安全性、动力性的影响以及轻量化技术路线的研究还需要继续深入。同时,中国CAFC法规出台较晚,目前汽车企业对于应对CAFC法规所应采取的轻量化策略尚不清晰,本研究旨在分析我国汽车整备质量与油耗、安全性、动力性之间的关系,量化几方面因素的权衡取舍,为目标企业给出合理的轻量化技术决策。 1 研究方法1.1 轻量化策略优化模型 建立轻量化策略优化模型,是给出科学合理的轻量化策略的有效手段。在满足CAFC法规的前提下,选择合理的技术路线,降低企业成本,是企业进行技术决策的主要目标。因此,将轻量化技术企业最小增量成本设定为最优化问题模型的目标函数,企业增量总成本等于每辆车的轻量化成本乘以每辆车的销量并求和:
式中:c1,c2,…,cn为不同技术路线的成本;Sm为第m个车型的销量。设计变量xmn用来选择轻量化技术路线,取值为0或1,1代表第m个车型选择了第n个技术阶段,0代表未选择,由于轻量化技术路线只能选择一个,每列只能存在一个1(此为隐含的约束条件)。 设计此目标函数,需要已知轻量化技术路线。我国企业的轻量化技术路线公开资料较为缺乏,不同企业对应的技术路线也有一定程度的差异,但考虑到轻量化作为一种共性汽车节能手段,其成本与节油效果在国内外存在较强的一致性,本文中参考了NHTSA的轻量化技术路线研究成果[14]和美国国家科学院国家研究委员会的研究成果[15],设计技术路线见表1,近似替代我国企业汽车轻量化技术路线。 表1 轻量化技术路线设计 
由于A级车与B级车在车身尺寸、整备质量等方面有较大差距,故将A级车与B级车成本分开计算。在设计轻量化技术路线时,考虑到潜在的“重量化”可能,当汽车选择重量化时,由于将较轻的先进材料(如镁铝合金、高强度钢等)替代为较重的普通钢材,因而在材料成本、加工成本、装配成本等方面都得到了降低,因而增量成本为负。 约束条件的设计决定优化的结果,满足CAFC法规是最为重要的约束条件,到2020年,企业整体达到CAFC目标值,其中轻量化技术占据一定比例的贡献率,该条件针对企业整体起约束作用:
式中:fn为不同技术路线下各车型的油耗;N为CAFC当前值;T为CAFC目标值;η为实现目标值的百分比。在使用该约束条件时,可以对η值进行改变,以研究不同贡献率下,成本的变化及其趋势。当前值N根据现有车型计算,参见式(3),而目标值T随轻量化所带来的整备质量变化而变化,利用式(4)计算。
式中:i表示乘用车车型代号;FCi表示第i个车型的燃料消耗量;Ti表示第i个车型对应的燃料消耗量目标值;Vi表示第i个车型的年度生产、进口或销售量[3-4]。 动力性的约束,主要是从“重量化”方面进行约束。汽车实施轻量化后,动力性会有一定的提升,但考虑到“重量化”的可能,需要约束目标车型不能因重量化损失过度的动力性。采用加速时间作为动力性约束的参数,该条件对每个车型起约束作用:
式中:Pi为每辆车的加速时间;P为约束的加速时间。 安全性的约束,参考国外研究成果,以死亡风险作为约束条件,即轻量化后的车型死亡风险不应大于某值,该条件对每个车型起约束作用:
式中:Ri为每辆车的死亡风险;R为约束的死亡风险。 在约束条件的选择上,企业可以根据自身研发能力和产品定位进行安全性和动力性的约束。需要注意的是,法规约束针对目标企业整体油耗,而安全性及动力性约束针对每款车型,这样设计是为了避免优化结果出现安全性或动力性过差的个别车型。 由于本优化模型中的设计变量x只能取值为0或1,这种全部分量取整数值的最优化问题被称为整数规划问题,而本优化模型为整数规划的特殊型0-1规划问题,将优化模型归结为0-1规划的一般形式。
式中:f为目标函数;A为不等式约束矩阵;b为不等式约束向量;Aeq为等式约束矩阵;beq为等式约束向量。 求解0-1规划问题,通常有分支定界法和隐枚举法两种解法,其中分支定界法在整数规划问题中更为常用,扩展性更强,且有大量的算法实例可以参考,因而,本研究采取分支定界法求解0-1规划问题,借助Matlab进行优化计算,这里略去求解过程。 1.2 轻量化对于车辆性能的影响 1.2.1 轻量化对于燃油经济性的影响 汽车整备质量是影响燃油经济性的重要因素之一,EPA在其研究报告中采用ton·mpg对汽车整备质量与油耗之间关系进行衡量和评价。ton·mpg是一个针对当年所有车型进行统计计算出的平均值,指单位质量(ton)的油耗(mpg)。参考EPA公布的2006-2008年车型数据,美国沃德咨询公司在其研究报告中统计得出,在美国汽车市场2006-2008年期间的车型,汽车每降低100kg整备质量,相应减少0.53L/(100km)的油耗(美国标准工况)[5]。
将单位换为我国常用的单位,定义为f:
依据我国汽车数据,分别计算2010-2015年的f值,并线性回归推测至2020年,见图2。 2020年的f值为224.61kg·100km/L,进而推算出油耗与整备质量的关系:
代入数据:  图2 中国2010-2020年f值变化情况
结果显示,2020年推出的新车,每轻量化100kg,油耗将降低0.445L/(100km),虽然中美两国行驶工况不同,但比较美国的相关研究 0.23~0.67L/(100km)的结果[5],数值相近。 1.2.2 轻量化对于安全性的影响 整备质量的降低带来了较好的燃油经济性,但与此同时,其对安全性的影响也逐渐体现出来。从1989年开始,美国相关机构逐渐开展汽车轻量化对安全性的影响研究,相关研究普遍采用死亡人数或死亡率作为原始数据进行统计学分析。美国死亡分析报告系统收录全国交通事故的数据,而我国相应的公开数据十分缺乏。鉴于此,参考现有研究成果,进行符合我国汽车市场实际情况的改进。 文献[11]中建立了汽车相互碰撞的安全性公式:
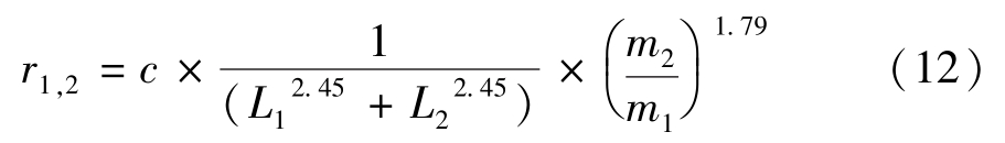
式中:r1,2为1车与2车相撞时,1车的死亡风险;c为常数;L1为被测车型的车长;L2为标准车车长;m1为被测车型的质量;m2为标准车质量。 为使每辆车的安全性具有可比性,引入年度标准车,使各车型与标准车碰撞,得出的死亡风险值作为本文中安全性的评价标准:
式中:Li为第i个车型的车长;Mi为第i个车型的质量;Si为第i个车型的销量;S为当年乘用车总销量。 将我国数据代入得到L=4517mm,M=1355kg,与美国2004年标准车(L=4800mm,M=1400kg)相比,数值差距不大,鉴于两国国情差别,我国的结果更小一些是合理的。 由标准车的值可得常数c=2×4.5172.45,将此值代入式(12),即可计算出我国各车型与标准车碰撞后的死亡风险。为直观说明,表2选取了我国市场中一些典型车型作为算例,结果与直观印象相符。 表2 中国市场上常见车型的安全性指标 
将我国2014年所有在售车型的死亡风险计算结果拟合为曲面,得到图3。整体上,整备质量越大,车长越长,安全性越好,符合公式的预期结果。  图3 我国汽车整备质量、车长与死亡风险的关系
1.2.3 轻量化对于动力性的影响 本研究采用比功率和加速时间作为汽车动力性的评价指标,依据我国数据对各车型的动力性进行量化。比功率可以方便地研究汽车整备质量与动力性的关系。图4为我国新车平均比功率的变化趋势。显然,近6年来,我国汽车市场的汽车动力性稳定上升。  图4 我国2010-2015年平均比功率变化趋势
鉴于我国没有权威的汽车加速时间数据,为使用加速时间直观地表现汽车动力性,可以在获得比功率的值后,进一步估算出汽车的加速时间。文献[16]中给出了整备质量与加速时间的关系:
式中:t为0-100 km/h的加速时间;P为最大功率,马力;M为整备质量,磅;G和 g为常数。根据式(15)计算出0-60mph(0-97km/h)的加速时间。应用式(15)需要计算G和g的值,调研美国研究的结果制成表3。 表3 国外研究中G与g的取值结果 
由于计算时间和数据源不同,得出的结论是不同的。因此,有必要应用最新的数据对G值与g值进行重新计算。由于我国没有官方的加速时间统计,为得到合理的结果,选取一组我国市场销量较高,各档次分布均匀的代表车型,以厂家公布或第三方测评的加速时间为数据,计算得到G=0.95,g=0.72。 总体来看,与美国研究的结果近似,而产生差距的主要原因是汽车整体动力性能的差异。 2 研究成果2.1 算例选择 结合设计的技术路线,为使研究更具真实性和代表性,选择了我国市场中有一定占有率、技术水平较好、市场定位中等、与表4所设计轻量化技术路线较符合的某目标企业。2014年,目标企业共生产7个车型,按整备质量划分,共26款。对这26款车进行数据统计调研,结果见表4。 考虑到同一车型,车身选择相同的技术路线,但不同排量车型可在发动机、传动系等应用不同程度的轻量化技术,为使算例更接近现实情况,结果更加准确,将26款车按照车型及排量的区分方法重新分类,最终得到10款计算车型进行再轻量化技术路线选择。但根据法规标准,目标值和实际值应使用26款车型计算。 表4 目标企业26款车型的特征参数 
设计约束条件时,针对安全性与动力性,设定了标准约束,为丰富研究成果,在其基础上设计了较强约束和较弱约束,为直观显示约束条件的选择,在此总结见表5。 表5 不同标准的约束条件选择 
2.2 优化结果 算例目标企业技术较好、资金实力较强、市场定位中等,因此,以标准约束进行分析具有代表性和真实性。在CAFC贡献率的约束选择中,轻量化作出30%的贡献率是较为符合实际情况的。为比较结果,再设定一个值为10%进行对比,图5和图6即为优化结果。  图5 10%贡献率下不同车型轻量化技术路线选择
 图6 30%贡献率下不同车型轻量化技术路线选择
G车型不能同时满足动力性和安全性约束条件,属于较为落后的产品,因此建议此车型停产或更新换代。在10%目标值贡献率下,整体所需轻量化程度较低,A车型、B车型、E车型2.4L均不变,其他车型选择了2%~10%不同程度的轻量化技术路线,而E车型3.0L选择了1.80%的“重量化”,选择该技术路线,企业增加总成本约3.7亿元,平均每辆车增加成本约818元。在30%目标值贡献率下,整体所需轻量化程度较高,各类车型选择了2%~15%不同程度的轻量化技术路线。选择该技术路线,企业增加总成本约14.1亿元,平均每辆车增加成本约3 119元。 在10%的目标值贡献率下,E车型3.0L选择重量化的路线,主要出于两点原因。第一,重量化可以使目标值放宽,E车型3.0L在重量化1.8%后,油耗目标值从5.5L上升到5.7L,对于整备质量在CAFC法规相应质量段靠后的车型,增加较少的整备质量对自身油耗影响不大,可以起到放宽油耗目标值的作用。第二,在轻量化技术路线中,选择“重量化”技术,受较重的替代材料的材料成本、加工成本、工艺成本等较低影响,技术成本不增反降,在本例中,满足约束条件的前提下进行重量化,可以起到削减企业成本的作用。 为更好地比较优化结果,假设CAFC贡献率达到30%,选择表5的较强和较弱约束,其中较弱约束得到与标准约束相同的结果,即图6,主要是因为所选算例目标企业技术水平较高,标准约束和较弱约束在30%贡献率下效果相似。而较强约束则由于更高的动力性和安全性标准,对轻量化程度有较严格的约束,轻量化程度较高的车型有所减少,技术路线更趋向平均,即5%~10%的轻量化,见图7。  图7 30%贡献率、较强约束条件下不同车型轻量化技术路线选择
根据轻量化技术为实现CAFC目标值贡献的比例不同,研究其平均成本的变化趋势。由于不能完全依靠轻量化实现CAFC目标值,当贡献比例过大时,安全性和动力性均不能保证,故取50%为上限,每5%为一个单位,结果见图8。轻量化对CAFC贡献率较低的情况下,3种约束成本相差较少,当贡献率上升后,拉开了一定差距,对于企业整体而言,每辆车存在几百元的成本差距则是亿元的投入。  图8 不同CAFC贡献率下应用轻量化技术平均每辆车增加的成本
从计算结果看,随着轻量化对实现CAFC目标值所做贡献比例的增大,平均成本整体呈现增加的趋势,当贡献率达到50%时,标准约束下平均成本达到了6 676元,对企业而言,有一定成本压力。为更好地比较A级车和B级车的成本压力,根据计算结果绘制图9。  图9 不同CAFC目标值贡献率下A级车与B级车各自增加的成本及其占比
从图9看出,当贡献率较小时,A级车成本压力较小,B级车成本压力较大,但当贡献率提升后,由于本算例目标企业的A级车销量更大,对企业整体目标值影响更大,A级车承担了更大的成本压力,而B级车则相对降低了成本。对于我国汽车业整体而言,A级车份额同意大于B级车,因此我国整体应有图9相似结果。 依据目标企业在设定不同CAFC贡献率进行优化计算的结果,绘制图10。从图10看出,汽车轻量化程度与CAFC的贡献率存在近似的线性关系,为实现5%~50%的CAFC贡献率,目标企业需平均轻量化1%~10.8%。平均轻量化程度不宜超过10.8%,当对CAFC贡献率超过50%后,安全性约束将不能保证。  图10 不同轻量化程度对CAFC的贡献率
3 结论本研究定量分析了我国汽车整备质量与燃油经济性、动力性、安全性之间的关系,针对CAFC法规建立了汽车企业的轻量化策略优化模型,并为目标企业给出了最优轻量化策略。本研究的贡献主要体现在两个方面:一是从方法学层面提出了普适于我国各汽车企业应对CAFC法规的轻量化策略的方法;二是以实际企业为案例,研究了我国汽车企业为实现第四阶段CAFC法规所需的轻量化程度及轻量化成本。本研究的主要结论如下。 (1)当轻量化技术为实现CAFC法规贡献30%时平均每辆车的轻量化增量成本约为3 000元,考虑其他技术贡献另70%的成本,预计与我国官方给出的1.6万元总增量成本[3]基本吻合。但我国市场销量最大的A级、B级车普遍处于8万~20万元区间,合资车企对1.6万元的增量成本有一定承担和消化能力,但对自主品牌车企而言就难以消化,成本压力很大[17]。 (2)优化结果预示了未来5年我国乘用车的整备质量变化趋势,以目标企业为代表,根据成本分析,轻量化做出10%~30%的CAFC贡献率是较为合理的,因此预测我国市场车型到2020年平均整备质量将降低2%~6%。 (3)优化结果反映出我国CAFC法规的两点不足:第一,在最优解的技术路线选择中,部分车型增加了整备质量,放宽油耗限值的同时还节省了成本,这是法规目前存在的漏洞;第二,以整备质量作为标准制定油耗限值,对汽车安全性影响较大,相比之下,美国以footprint作为标准,更加鼓励尺寸大而整备质量轻的车型,大尺寸在一定程度上可以弥补轻量化造成的安全性问题。
|