注册后就可以查看哦!
您需要 登录 才可以下载或查看,没有账号?立即注册
x
【汽车轻量化在线】碳纤维复合材料汽车后排座椅优化设计兰 祥, 赵晓昱, 张 鑫, 陈伶俐 (上海工程技术大学 机械与汽车工程学院, 上海 201620) 摘要: 汽车座椅是汽车的主要零部件,运用复合材料进行座椅骨架设计具有积极意义.使用HyperWorks软件中复合铺层优化的方法对汽车后排座椅骨架铺层结构进行优化,针对靠背骨架、坐垫骨架和背板采用复合材料多阶段联合优化方法(自由尺寸优化、层叠尺寸优化和层叠次序优化)求解最适合的铺层方案,并进行强度校核.根据国家标准进行行李箱冲击试验仿真,分析座椅安全性.结果表明,结构优化后的模型相对于原铺层质量减轻13.6%,且完全满足行李箱冲击试验的强度要求,为复合材料后排座椅行李箱冲击试验提供参考. 关键词: 复合材料; 座椅骨架; 铺层结构优化; 安全性 [size=1em]与传统金属材料相比,碳纤维复合材料的密度更小,比强度和比模量较高,且具有良好的抗疲劳能力、抗震性能和可设计性.碳纤维复合材料应用在汽车上,能够有效减轻车身质量,优异的抗冲击性能可以有效提升汽车的安全性[1].相对于金属部件,复合材料通常为一体成型,可以减少部件数量,有效实现轻量化.目前关于碳纤维复合材料在汽车座椅骨架中的应用研究相对较少,如何应用碳纤维复合材料进行座椅骨架铺层设计显得尤为重要[2].由于材料和工艺的可设计性,拥有不同的铺层角度和铺层顺序的复合材料层合板展现出完全不同的力学性能[3].当处于复杂工况时,优异的铺层层数、角度和次序可以使层合板结构更好地承载各方向载荷[4]. [size=1em]本文以某款车型后排座椅骨架模型为研究对象,采用碳纤维增强复合材料(T 300/5222)替换传统金属材料,利用HyperWorks软件中自由尺寸优化、层叠尺寸优化和层叠次序优化理论进行铺层结构的优化设计,得到最佳铺层结构,并对后排座椅进行行李箱冲击试验,使其在满足标准要求的同时获得最优异的座椅骨架铺层结构,完成轻量化目标[5-7]. 1 后排座椅有限元模型及抗冲击性试验[size=1em]在后排座椅分析中,座椅骨架是整个座椅系统中的主要承力部件,而蒙皮、软垫以及一些悬挂结构主要起到调节功能以及增加舒适性的要求,在静强度分析中刚度的贡献非常小,所以在建立座椅骨架总成时,对上述结构进行相应的简化[8].座椅骨架总质量为23.64 kg,单元数为89 571,座椅骨架总成有限元模型如图1所示.  [size=0.8em]图1 座椅骨架有限元模型
Fig.1 Finite element model of rear seat
[size=1em]依据国家标准GB 15083—2006《汽车座椅、座椅固定装置及头枕强度要求和试验方法》进行座椅抗冲击性试验.将座椅骨架固定在台车上,将2个尺寸为300 mm×300 mm×300 mm,质量为18 kg的正方体试验样块放置在指定位置,具体位置如图2所示[9].  [size=0.8em]图2 行李块在车辆中的摆放位置
Fig.2 Position of luggage in vehicle
[size=1em]本试验设置控制时间步长为3×10-2 ms,整个分析时间为120 ms.台车的初速度为50 km/h,同时施加标准中规定的减速度,减速度波形应处于标准中规定的减速度时间曲线限定区域之内,施加的减速度曲线如图3所示. 2 碳纤维后排座椅骨架优化设计2.1 材料的定义[size=1em]第三个优化阶段为设计变量铺层顺序,约束条件设置为对称约束,即±45°的单层板成对出现;同一角度铺层数目不连续出现超过4层[14].选择Tsai-Wu强度理论校核单层板失效参数.复合材料后排座椅骨架层叠顺序优化的优化目标依旧设置为最小加权柔度[15].该过程设计变量和目标函数保持不变,模型与式(3)相同.
[size=1em](1) [size=1em]式中:Fi和Fij为复合材料应力空间的强度参数;σ为不同方向主应力;τ为剪应力. [size=1em]初始复合材料后排座椅骨架铺层模型是根据以往经验并结合铺层的一般原则建立的,仿真后存在着变形过大、背板破裂等问题,因此并不能满足座椅法规中关于后排座椅安全性的要求[9].对于初始座椅骨架中采用碳纤维材料的部件(靠背骨架、坐垫骨架、背板),本文采用复合材料多阶段联合优化方法,包括自由尺寸优化、层叠尺寸优化和层叠次序优化等对初始铺层结构进行优化,提高座椅安全性[10].  [size=0.8em]图3 台车减速度曲线
Fig.3 Trolley deceleration cure
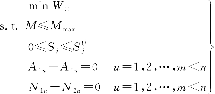
2.2 碳纤维后排座椅靠背骨架自由尺寸优化[size=1em]在座椅骨架优化过程中,每个阶段都有相对应的设计变量、约束条件以及优化目标.自由尺寸优化是复合材料后排座椅优化的第一阶段,设计变量选为背板、坐垫骨架和靠背骨架在不同铺层角度的铺层尺寸,约束条件包括应力、位移以及复合材料的制造约束,优化目标设置为各工况下的最小加权柔度[11].根据层合板设计原则:铺层角度设定为0°、+45°、-45°和90°;+45°和-45°的铺层数量相等;初始总厚度设置为2 mm. [size=0.8em]表1 碳纤维材料相关参数
Table 1 Material parameters of carbon fiber 
[size=1em]根据设计变量、约束条件和优化目标建立相对应的自由尺寸优化数学模型为
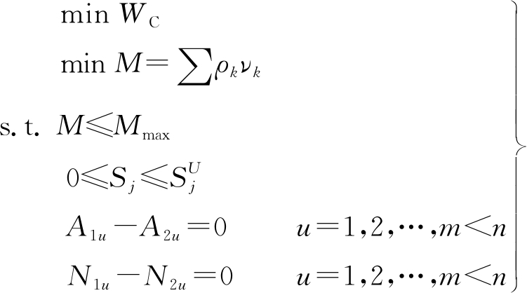
[size=1em](2) [size=1em]式中:WC为加权柔度;M为后排座椅骨架质量;S为各工况下后排座椅骨架最大位移;A1u与A2u分别为±45°铺层的铺层面积;N1u与N2u分别为±45°铺层的铺层数目. [size=1em]设置完各变量之后进行自由尺寸优化,座椅骨架各部分的总厚度,0°、+45°(+45°和-45°厚度相等,文中只给出+45°云图)和 90°铺层厚度分布如图4所示. 2.3 复合材料后排座椅靠背骨架层叠尺寸优化[size=1em]在第二阶段的优化系统中,可变的设计变量为坐垫骨架、靠背骨架和背板的4个方向的层叠尺寸和铺层厚度[12].层叠尺寸优化过程中的约束条件包括各工况所对应的位移、质量约束和复合材料的制造工艺约束,目标函数依旧沿用自由尺寸优化中的最小加权柔度,目标函数设置为座椅质量最小[13].同时,依据工程经验,单层板的厚度往往为0.125 mm,因此,对单层板厚度施加的制造工艺约束即为0.125 mm,最终优化后的各角度铺层厚度都为0.125 mm的整数倍.层叠尺寸优化数学模型为
[size=1em](3) [size=1em]式中:ρk为材料密度;νk为座椅骨架体积. [size=1em]层叠尺寸优化在Optistruct中求解,座椅骨架各个部分的总厚度,0°、+45°(+45°和-45°厚度相等,文中只给出+45°云图)和90°铺层厚度分布如图5至图7所示.经过层叠尺寸优化后,坐垫骨架、靠背骨架和背板的铺层厚度即可确定,为下一步层叠次序优化提供基础. [size=1em]最小加权柔度响应的优化迭代曲线如图8所示.从图中可以看出,柔度变化曲线整体呈现下降趋势,然后趋于平稳.经过4次迭代,挠度值从1 081.5 mm/N降至1 050.8 mm/N,表明座椅骨架刚度逐渐上升.  [size=0.8em]图4 座椅骨架总厚度和不同角度铺层厚度
Fig.4 Total thichness and thickness of different angles layer of seat frame
 [size=0.8em]图5 靠背骨架总厚度和不同角度铺层厚度
Fig.5 Total thickness and different angles layer thickness of backrest frame
2.4 复合材料后排座椅靠背骨架层叠顺序优化[size=1em]采用彩色超声仪器进行诊断,A组患者探头频率设置在3.5MHz,在检查前保证膀胱属于充盈状态,避免肠道出现气体,保持仰卧位,通过耻骨联合以上予以扫查处理,必要情况下,对体位更换,对子宫以及双侧输卵管和卵巢等位置充分检查。 [size=1em]各部件的优化迭代结果如图9所示.最终铺层结果见表2. 3 优化结果和分析[size=1em]本文基于LS-DYNA 3D显式有限元软件对建立的座椅冲击试验有限元仿真模型进行分析,冲击试验结果如图10所示.标准要求试验过程中座椅最大变形不超过座椅R点前100 mm的参考面,即座椅在x方向的变形量小于515 mm,由图10可得原座椅结构x方向最大变形量为450.5 mm,变形没有超过参考面.  [size=0.8em]图6 坐垫骨架总厚度和不同角度铺层厚度
Fig.6 Total thickness and different angles layer thickness of cushion skeleton
 [size=0.8em]图7 背板总厚度和不同角度铺层厚度
Fig.7 Total thickness and different angles layer thickness of seat back
 [size=0.8em]图8 柔度响应迭代曲线
Fig.8 Flexibility response iteration curve
[size=1em]座椅骨架应力云图如图11所示.从图中可以看出,最大应力值为293.7 MPa,主要发生在靠背骨架和骨架连接处,低于钢材Q355和碳纤维复合材料T300/5208的屈服极限.检查碳纤维复合材料后排座椅骨架模型是否发生破坏,输出各复合材料部件的失效指数,如图12所示.从图中可以看出,失效指数为0.480 7<1,因此优化后的坐垫骨架、靠背骨架和背板均未发生破坏,且座椅骨架质量从优化前的16.78 kg下降到14.49 kg,降低13.6%.  [size=0.8em]图9 各部件层叠次序优化
Fig.9 Stacking order optimization of components [size=0.8em]表2 复合材料座椅骨架铺层分布结果
Table 2 Results of composite seat frame laying distribution results
 [size=0.8em]图10 座椅骨架变形图
Fig.10 Seat skeleton deformation diagram
 [size=0.8em]图11 座椅骨架应力云图
Fig.11 Seat skeleton stress cloud
 [size=0.8em]图12 碳纤维座椅部件失效指数
Fig.12 Failure index of carbon fiber seat component
[size=1em]原钢材料以及碳纤维复合材料后排座椅骨架优化前后进行行李箱冲击试验,仿真结果见表3.与优化前相比,优化后的碳纤维复合材料后排座椅骨架应力和位移明显降低,且变形处于标准要求之内,刚度、强度明显上升.同时,优化后的复合材料后排座椅骨架质量下降13.6%,轻量化设计效果显著. 4 结 语[size=1em]本文以某款轿车碳纤维复合材料后排座椅骨架为研究对象,建立后排座椅有限元模型.通过对自由尺寸、层叠尺寸和层叠次序进行优化求出最佳的铺层方案,最后通过行李箱冲击仿真试验验证优化后的铺层结构.分析结果表明,优化后的碳纤维复合材料后排座椅骨架不仅满足工况要求,而且抗冲击性能更为优异,提高了座椅的安全性.优化后座椅骨架质量减轻13.6%,有效地实现了轻量化的需求,为以后应用复合材料进行汽车部件轻量化设计提供了参考. [size=0.8em]表3 复合材料与钢座椅骨架性能对比
Table 3 Performance comparison of composite material and steel seat skeleton 
|